Answers to CRE questions in March 2019 Newsletter

1. X and Y are discrete random variables. The probability that X = 3 is 0.20 and the probability that Y = 4 is 0.30. The probability of observing that X = 3 and Y = 4 concurrently is closest to:
a. 0.06
b. 0.
c. 0.50
d. Cannot answer with the information provided.
2. The probabilities that three students will earn an A on an exam are 0.20, 0.25, and 0.30, respectively. If each student’s performance is independent of that of the other two students, the probability that all three students will earn an A is closest to:
a. 0.0150
b. 0.0075
c. 0.0010
d. 0.7500
3. The following table summarizes the availability of trucks with air bags and bucket seats at a dealership.
What is the probability of randomly selecting a truck with air bags and bucket seats?

a. 0.34
b. 0.57
c. 0.28
d. 0.16

4. The lower limit of a normal distribution is:
a. negative one
b. zero
c. one
d. negative infinity
5. Approximately 50 percent of all observations for a normally distributed random variable fall in the interval:
a. μ ± 2σ
b. μ ± 0.67σ
c. μ ± σ
d. μ ± 3σ
6. A depot receives an average of two engines per day to repair. The probability that they will receive 20 engines in 8 days is:
a. 3.66%
b. 16.56%
c. 6.40%
d. 5.59%

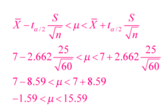
7. The approximate 99% confidence interval for the population mean based on a sample of 60 returns with a mean of 7% and a sample standard deviation of 25% is closest to:
a. 1.546% to 13.454%
b. 0.546% to 13.454%
c. -1.59% to 15.589%
d. 1.584% to 14.584%

8. What is the computed value of the test statistic that follows an F-distribution when sample variances are equal and the level of significance is 0.10?
a. 0.90
b. 0.05
c. 1.00
d. 0.10

9 A survey is taken to determine whether the average starting salaries of Reliability engineers is equal to or greater than $59,000 per year. What is the test statistic given a sample of 135 new Reliability engineers with a mean starting salary of $64,000 and a standard deviation of $5,500?
a. -0.91
b. -10.56
c. 10.56
d. 0.91

10. You have collected monthly returns to depot and want to test the null hypothesis that the standard deviation exceeds the advertised standard deviation of 3.5%. The most appropriate test statistic is based on
a. chi-square test
b. t-test
c. F-test
d. z-test
Picture © B. Poncelet https://bennyponcelet.wordpress.com