TECH SPOT: SAMPLE CRE QUESTIONS (Part 8)
1. Given the density function obtained under accelerated conditions: Determine the density function under normal operating conditions, given an acceleration factor of 5
a. (1/150)exp(-t/150)
b.(1/6)exp(-t/6)
c. (1/30)exp(-t/6)
d. (1/30)exp(-t/150)
2. Which of the following is NOT a type of sample?
a. acceptance sample
b. SPC sample
c. Application sample
d. Measurement system correlation sample
3. Failure rate derating curves are not dependent upon:
a. Environmental stresses
b. Operating life
c. Failures per hour
d. Component application levels
4. FMECA classifies each failure mode according to:
a. Probability
b. Criticality
c. Severity
d. Unreliability
5. Allocation of functions to personnel and equipment in combinations to achieve the required reliability is defined as
a. Human Factors allocation
b. Design Factors allocation
c. The function allocation
d. Cross-functional allocation
6. The reliability of the logic diagram is:

a. 0.1800 b. 0.5918 c. 0.7796 d. 0.8201
7. What does the failure mode and criticality number (Cm) replace in the most common qualitative methods?
a. Severity number
b. Risk Priority number
c. Failure Effects Number
d. Failure mode number
8. Two gages are used to inspect an item, yours and a supplier’s. A correlation sample of n=25 units was inspected using both gages. The std dev using gage #1 is 20, using gage #2 it is 30. What is critical value of the appropriate statistic to test the null hypothesis that the variances of both gages are equal at 5% significance (1-sided test)?
a. 1.98 b. 2.25 c. 4.85 d. none of the above
9. The acceleration factor for increasing vibration from 50 units to 200 units is 6.4. At a vibration level of 200 units, the time to failure is lognormal with a scale parameter of 0.8 and a location parameter of 3.2. What is the reliability under normal conditions at time=100?
a. 0.7136 b. 0.8271 c. 0.8361 d. none of the above
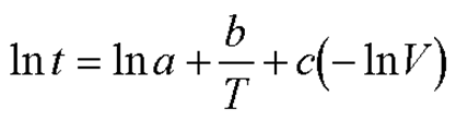
10. The equation below represents:

a. the Weibull distribution transformed for probability plotting
b. the Arrhenius model
c. the lognormal hazard function
d. the linearized Eyring model
